Archangel suggests wound categories based on three factors: exudate amount, thickness/stage, and wound depth
During the treatment/care plan process, the clinician is presented with "Organization Suggested" categories for advanced wound care dressings. These suggestions approved by your organization are suggested based on what the clinician selected for the following:
- Exudate
- Thickness or Stage
- Wound Depth
As seen in the purple text in the example below, Archangel presents "Organization Suggested" dressing categories.

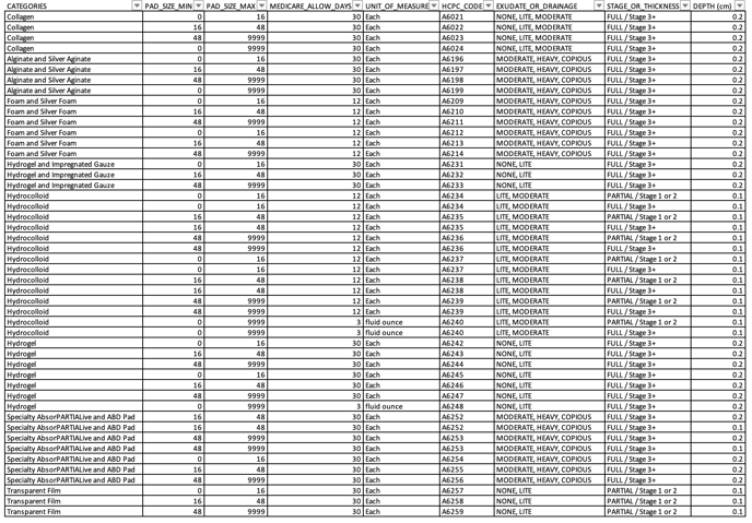
The table below shows the logic used for AWD categories and associated information for each category. The three right-most columns are the factors that are considered for suggested categories.
For example, if a wound has MODERATE exudate, is PARTIAL thickness and is .3 cm in depth, the only category suggested is: HYDROCOLLOID.
However, if for example, if a wound is LITE exudate, is FULL thickness (or stage 3 or greater) and is .3 cm in depth, the following categories suggested are: COLLAGEN, HYDROGEL and IMPREGNATED GAUZE, HYDROCOLLOID, and HYDROGEL.

IMPORTANT: Look closely at the DEPTH column above. You will see values that are either .1 or .2 centimeters. The wound must be equal to or greater than this value for that category to be marked as "Organization Suggested".